Skip to content
News:
Dirjen P3K Kementerian Kebudayaan Buka Festival MenTari #5 di ISI Padangpanjang, 10 Koreografer Unjuk Eksperimen Artistik
ISI Padangpanjang Siapkan Langkah Strategis Menuju Akreditasi Unggul
Kolaborasi Seni Internasional Hadir di ISI Padangpanjang: SALLY Dance Company Tampilkan “CLUB SALLY”
ISI Padangpanjang Raih Penghargaan APPel Hijau Indonesia Awards 2025
  • Tenaga Pendidik
  • Tenaga Kependidikan
  • id Indonesian
    • en English
    • id Indonesian
ISI PADANGPANJANG – Insitut Seni Indonesia Padangpanjang
  • (0752) 82007 isi@isi-padangpanjang.ac.id
  • Jln. Bahder Johan Padangpanjang, Sumatera barat
  • HOME
  • TENTANG
    • Sejarah
    • Pimpinan
    • Senat
    • Visi, Misi, Tujuan & Sasaran Strategis
    • Lambang, Mars & Hymne
    • Akreditasi Lembaga
    • Penghargaan dan Prestasi
    • Struktur Organisasi
  • FAKULTAS
    • Fakultas Seni Pertunjukan
      • Prodi Seni Karawitan
      • Prodi Seni Musik
      • Prodi Seni Tari
      • Prodi Seni Teater
      • Prodi Antropologi Budaya
      • Prodi Studi Humanitas
      • Prodi Tata Rias
      • Prodi (D4) Musik Film
      • Prodi (D4) Tari Melayu
      • Prodi Tari Minang (D4)
    • Fakultas Seni Rupa & Desain
      • Prodi Kriya Seni
      • Prodi Televisi & Film
      • Prodi Seni Murni
      • Prodi Fotografi
      • Prodi Desain Komunikasi Visual
      • Prodi Pendidikan Kriya
      • Prodi Desain Mode
      • Prodi Desain Produk
      • Prodi Pariwisata
      • Prodi Animasi (D4)
      • Prodi Produksi Media (D4)
      • Prodi Kewirausahaan
    • Pascasarjana
      • Prodi Magister Penciptaan dan Pengkajian Seni
      • Prodi Magister Studi Humanitas
      • Program Studi Pendidikan Seni
      • Prodi Penciptaan Seni Program Magister Terapan
      • PROGRAM STUDI SENI PROGRAM DOKTOR (S-3)
  • AKADEMIK
    • Panduan Akademik
    • Kalender Akademik
    • Penerimaan Mahasiswa Baru
      • Seleksi Nasional Berdasarkan Prestasi (SNBP) 2024
      • Seleksi Nasional Berdasarkan Tes (SNBT) 2024
      • Seleksi Mandiri Masuk PTN-Barat (SMM PTN-Barat) 2025
      • Jalur Mandiri Tahun Akademik 2024/2025
  • INFO
    • Berita kampus
    • Pengumuman
    • ISI PP Dalam Media
    • Daftar Informasi Publik
    • Dokumentasi IKSBM
    • Laporan
    • Data
  • KONTAK

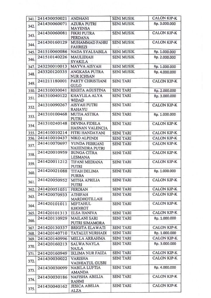
PENETAPAN BESARAN UANG KULIAH TUNGGAL (UKT) MAHASISWA BARU JALUR MASUK SELEKSI NASIONAL BERDASARKAN TES (SNBT) INSTITUT SENI INDONESIA PADANGPANJANG TAHUN AKADEMIK 2024/2025

24/06/202424/06/2024 UPA KSBMInfo Akademik, Pengumuman

Post navigation

Previous Previous post: Perpanjangan Penerimaan Mahasiswa Baru (PMB) Jalur Mandiri ISI Padangpanjang
Next Next post: Pengumuman Tata Cara Pembayaran UKT jalur SNBT Tahun 2024
  • Dirjen P3K Kementerian Kebudayaan Buka Festival MenTari #5 di ISI Padangpanjang, 10 Koreografer Unjuk Eksperimen Artistik14/11/2025
  • ISI Padangpanjang Siapkan Langkah Strategis Menuju Akreditasi Unggul13/11/2025
  • Kolaborasi Seni Internasional Hadir di ISI Padangpanjang: SALLY Dance Company Tampilkan “CLUB SALLY”12/11/2025
  • ISI Padangpanjang Raih Penghargaan APPel Hijau Indonesia Awards 202512/11/2025
  • Workshop Internasional “CLUB SALLY” Hidupkan Semangat Tari Kontemporer di ISI Padangpanjang11/11/2025
  • Kai Tuchmann Hadir di ISI Padangpanjang, Bahas Teater Pascadramatik dalam Workshop Internasional11/11/2025
  • Program Kreatifitas Mahasiswa (PKM) tahun 202519/09/2025
  • PENERIMA BEASISWA KIP KULIAH PROGRAMINDONESIA PINTAR (PIP) SEMESTER GANJIL TAHUN AKADEMIK 2025/2026JALUR MASUK SNBT INSTITUT SENI INDONESIA PADANGPANJANG21/08/2025
  • Perpanjangan Pembayaran UKT dan IPI T.A Ganjil 2025-202609/08/2025
  • PENDAFTARAN GELOMBANG III PENERIMAAN MAHASISWA BARU PROGRAM DOKTOR PASCASARJANA06/08/2025
  • PENDAFTARAN GELOMBANG III PENERIMAAN MAHASISWA BARU PROGRAM MAGISTER PASCASARJANA06/08/2025
  • Pembayaran Uang Kuliah Tunggal (UKT) dan Iuran Pengembangan Institusi (IPI) calon mahasiswa baru jalur Mandiri Tahun Akademik 2025/202631/07/2025

Layanan

  • Jurnal Online
  • Pustaka Online
  • Pendaftaran ISI-WIFI
  • Mail Office 365
  • Repositry
  • SIAKADCLOUD
  • SISTER Cloud Kemdikbud
  • Elearning

Lembaga

  • Biro Akademik dan Kemahasiswaan
    • Kemahasiswaan
  • Biro Perencanaan, Sumber Daya Manusia, dan Umum
    • Kepegawaian
  • Centre of International Affairs
  • Lembaga Penelitian dan Pengabdian Kepada Masyarakat
  • Lembaga Pengembangan Pembelajaran dan Penjaminan Mutu
  • Satuan Pengawasan Intern
  • PPID – Pejabat Pengelola Informasi dan Dokumentasi

Fakultas

  • Fakultas Seni Pertunjukan
  • Fakultas Seni Rupa & Desain
  • Pascasarjana

Unit Penunjang Akademik

  • UPA Informatika dan Koleksi Seni Budaya Melayu
  • UPA Ajang Gelar
  • UPA Perpustakaan
  • UPA Pengembangan Karier dan Kewirausahaan

Hubungi kami

Institut Seni Indonesia Padangpanjang
Jln. Bahder Johan, Kota Padangpanjang 27128 Sumatera Barat - Indonesia

Telp - (0752) 82077.
Fax - (0752) 82803
e-mail : isi@isi-padangpanjang.ac.id

Copyright © 2024 IKSBM
University Hub by WEN Themes
Scroll Up